U.S. Silver Corp. meldet Erhöhung der nachgewiesenen und wahrscheinlichen Ressourcen ...
04.05.2011 | Redaktion
U.S. Silver Corp. meldet Erhöhung der nachgewiesenen und wahrscheinlichen Ressourcen zum JahresendeToronto, 03. Mai 2011. U.S. Silver Corporation (TSX: USA, WKN: A0M MBT, OTCQX: USSIF) ("U.S. Silver" oder "das Unternehmen") gab bekannt, dass die Reserven am Jahresende im vierten Jahr nacheinander um mehr als die Produktion gewachsen sind. Die nachgewiesenen und wahrscheinlichen Silberreserven betragen 21,9 Mio. Unzen, eine Erhöhung von 304.000 Unzen nach Ersetzung der Produktion von 2,3 Millionen Unzen, wie detailliert im 43-101 dargestellt, der auf SEDAR veröffentlicht ist.
Das Explorationsprogramm ist weiterhin kosteneffizient bei der Hinzufügung von Reserven bei einem moderaten Ausgabenniveau. Außerdem erwartet man eine Steigerung bei der Rate der Reservenhinzufügung mit der Erweiterung des Bohrprogramms 2011. Seit 2006 hat das Unternehmen die nachgewiesenen und wahrscheinlichen Reserven um 115% gesteigert.
Zu den Reserven-Höhepunkten gehören:
- Die Reserven stiegen über das letzte Jahr nach der Produktion von 2.275.817 oz Silber im Jahre 2010
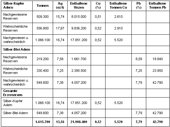
- Die Kupfer-Silber-Erzreserven betragen 17,8 Mio. oz Silber, 5.520 t Kupfer
- Die Blei-Silber-Reserven betragen 4,1 Mio. oz Silber, 42.790 t Blei
- Die gesamten nachgewiesenen und wahrscheinlichen Reserven betragen 21,9 Mio. oz Silber
- Die Silberreserven stiegen um 1% gegenüber der Reserven vom 31. Dezember 2009 und um 115% gegenüber der Reserve vom Juni 2006
- Die Kupferreserven stiegen gegenüber der Reserve vom 31. Dezember 2009 um 7%
- Die Bleireserven sanken um 14% gegenüber der Reserve vom 31. Dezember 2009
Zu den Ressourcen-Höhepunkten gehören:
- Gemessene und angezeigte Kupfer-Silber-Ressourcen betragen 8,0 Mio. oz Silber und 2.380 t Kupfer, die Silberunzen stiegen 5%, Kupfertonnen minus 5% im Vergleich zum 31. Dezember 2009
- Gemessene und angezeigte Blei-Silber-Ressourcen betragen 0,7 Mio. oz Silber und 7.270 t Blei, die Silberunzen sanken um 10%, Bleitonnen minus 13% im Vergleich zum 31. Dezember 2009
U.S. Silver hat Chlumsky, Armbrust & Meyer, LLC (CAM) mit einer unabhängigen Überprüfung und Bewertung der Reservenmethodologie, Aktualisierung der Reserven und Ressourcen für den Galena Minenkomplex beauftragt. Die qualifizierten Personen, die den technischen Bericht für CAM vorbereitet haben, sind Fred Barnard PhD. und Steve Milne P.E. CAM´s technischer Bericht zu den Reserven und Ressourcen der Galena Mine wurde in Übereinstimmung mit dem kanadischen National Instrument 43-101 angefertigt. Der Bericht wird auf SEDAR veröffentlicht.
Reserven und Ressourcen wurden unter Verwendung von 16,00 USD je Unze Silber, 2,90 USD je Pfund Kupfer und 0,90 USD je Pfund Blei geschätzt. Alle Geldwerte sind in US Dollars. Die Mineralreserven und -ressourcen des Galena Minenkomplexes sind nachfolgend aufgelistet.
Erzreserven des Galena Minenkomplexes per 31. Dezember 2010

Gemessene und angezeigte Ressourcen des Galena Minenkomplexes per 31. Dezember 2010

Abgeleitete Ressource des Galena Minenkomplexes per 31. Dezember 2010

Anmerkungen:
- Mineralressourcen sind ohne Reserven
- Mineralreserven haben ihre Wirtschaftlichkeit erwiesen, Mineralressourcen haben dies nicht
- Der benutzte Mindestgehalt für Reserven und Ressourcen betrug 9,0 oz/t Silberäquivalent
- Der Mindestgehalt basiert auf Produktionskosten von 143 USD je Tonne, einschließlich Abbau, Verarbeitung, Verwaltung und Gemeinkosten. Außerdem betragen die Kosten für Schmelzen, Raffinierung und Transport 34 USD je Tonne.
- Der Wert des Silberäquivalents für Reserven und Ressourcen betrug 1,1 oz Silber je Tonne pro Prozent Blei, nach Anpassung metallurgischer Ausbeuten
- Der Wert des Silberäquivalents für Reserven und Ressourcen betrug 3,6 oz Silber je Tonne pro Prozent Kupfer, nach Anpassung metallurgischer Ausbeuten
- Prozessausbeuten für Silber-Kupfer Erz sind 97,4% für Silber und 97,1% für Kupfer
- Prozessausbeuten für Silber-Blei Erz sind 95,0% für Silber und 91,4% für Blei
- Adern werden für Reserven und Ressourcen zum aktuellen Gehalt auf eine minimale Abbauweite verwässert. Die minimale Abbauweite variiert zwischen 5 und 9 Fuß, abhängig von der Abbaumethode
- 20% weitere Verwässerung bei Null Gehalt wird den Reserven nach Verwässerung der minimalen Abbauweite hinzugefügt
- Die Reserven- und Ressourcenschätzung basiert auf Daten und Abbau per 31. Dezember 2010
- Die Minenproduktion beträgt 200.000 bis 201.500 t pro Jahr und 2,6 bis 2,8 Mio. oz Silber pro Jahr, so die Annahme für Berechnungen der Wirtschaftlichkeit
- Außerdem wurde eine Kupferproduktion von 525 bis 739 t pro Jahr und die Bleiproduktion von 3.660 bis 5.926 t pro Jahr benutzt
- Die Reserven sind ausreichend für 8 volle Produktionsjahre
- Gemessene und angezeigte Ressourcen schließen 2.470.145 oz in der Coeur Mine ein. Die abgeleiteten Ressourcen schließen 2.121.931 oz in der Coeur Mine ein.
Daniel H. Hussey, M.Sc, CPC, Explorationsmanager der U.S. Silver Corp, ist die qualifizierte Person, die diese Meldung überprüft hat. Er hat auch die vom Galena Minenpersonal aktualisierte Reserven- und Ressourcenschätzung überwacht.
Über die U.S. Silver Corporation
U.S. Silver besitzt und betreibt durch seine hundertprozentigen Tochterunternehmen die Silber-Blei-Kupfer-Minen Galena, Coeur, Caladay und Dayrock in Shoshone County in Idaho. Die Galena Mine ist die zweitproduktivste Silbermine in der Geschichte der USA. Die Gesamtproduktion aus U.S. Silvers Minenkomplex seit 1953 hat 217 Mio. oz überschritten. U.S. Silver verfügt über ein Landpaket von mittlerweile 14.000 Morgen inmitten des Coeur d`Alene Bergbaudistrikts. U.S. Silver konzentriert sich auf die Ausweitung der Produktion der laufenden Anlagen sowie auf die Exploration und Entwicklung seiner umfangreichen Liegenschaften im Silver Valley im Coeur d`Alene Bergbaudistrikt.
Weder die TSX Venture Exchange noch deren Regulierungsdienstleister (gemäß den Bestimmungen der TSX Venture Exchange) übernehmen die Verantwortung für die Richtigkeit oder Genauigkeit dieser Pressemitteilung.
Diese Pressemitteilung enthält bestimmte vorausschauende Aussagen. Diese Aussagen sind nur aktuelle Vorhersagen und unterliegen bestimmten Risiken und Unsicherheiten, die schwer vorhergesagt werden können. Die tatsächlichen Ergebnisse können entscheidend von den Ergebnissen in den vorausschauenden Aussagen abweichen. Das Unternehmen hat keine Verpflichtung, die vorausschauenden Aussagen zu aktualisieren, oder die Gründe zu nennen, warum sich die tatsächlichen Ergebnisse von den vorausschauenden Aussagen unterscheiden, es sei denn, dies wird in den entsprechenden Gesetzen gefordert. Zusätzliche Informationen zu den Risiken und Unsicherheiten sind in den Veröffentlichungen des Unternehmens bei den kanadischen Wertpapierbehörden, verfügbar auf www.sedar.com, veröffentlicht.
Für den Inhalt der Pressemeldung ist allein die Gesellschaft verantwortlich. Sie wurde weder von der TSX-Venture Exchange, noch von einem Dritten geprüft. Die deutschsprachige Fassung kann gekürzt oder zusammengefasst sein. Es wird keine Verantwortung oder Haftung: für den Inhalt, für die Richtigkeit, der Angemessenheit oder der Genauigkeit dieser Übersetzung übernommen. Aus Sicht des Übersetzers stellt die Meldung keine Kauf- oder Verkaufsempfehlung dar! Bitte beachten sie die englische Originalmeldung auf www.sedar.com bzw. www.sec.gov oder auf der Firmenwebsite! (zur Meldung)
Weitere Informationen erhalten Sie bei:
Tom Parker, CEO
Tel.: 001 (208) 752-0400
oder
Chris Hopkins, CFO
Tel.: 001 (416) 907-9539
oder
The Equicom Group,
Patrick Piette, 416-815-0700 x 267
Deutsche Anleger:
Macdougall Consultants Ltd.
Tel.: 001 (226) 663 3000
Metals & Mining Consult Ltd.
Tel.: 03641 / 597471





